Chapter 2: The Chemical context of Life
Q8TYU
Which coefficients must be placed in the following blanks so that all atoms are accounted for in the products?
\({C_6}{H_{12}}{O_6} \to \_\_\_{C_2}{H_6}{O_{}} + \_\_\_C{O_2}\)
(A)2,1
(B) 3,1
(C) 1,3
(D) 2,2
Q9TYU
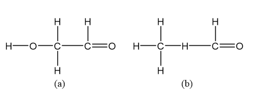
Draw Lewis dot structures for each hypothetical molecule shown below, using the correct number of valence electrons for each atom. Determine which molecules make sense because each atom has a complete valence shell, and each bond has the correct number of electrons. Explain what makes the other molecule nonsensical, considering the number of bonds each type of atom can make.
