In the Continuity article, we learned three criteria needed for a function to be continuous. Recall that all three of these criteria must be met for continuity at a point. Let's consider the third criterion for a minute "the limit as x approaches a point must be equal to the function value at that point". What if, say, this is not met (but the limit still exists)? What would that look like? We call it a removable discontinuity (also known as a hole)! Let's take a further look.
Removable Point of Discontinuity
Let's go back to the scenario in the introduction. What happens if the limit exists, but isn't equal to the function value? Recall, that by saying the limit exists what you actually are saying is that it is a number, not infinity.
If a function \(f(x)\) is not continuous at \(x=p\), and
\[lim_{x \rightarrow p} f(x)\]
exists, then we say the function has a removable discontinuity at \(x=p\).
Here, we define \(x=p\) as a removable point of discontinuity.
Ok, that's great, but what does a removable discontinuity look like? Consider the image below.
Fig. 1. Example of a function with a removable discontinuity at \(x = p\).
In this image, the graph has a removable discontinuity (aka. a hole) in it and the function value at \(x=p\) is \(4\) instead of the \(2\) you would need it to be if you wanted the function to be continuous. If instead that hole were filled in with the point above it, and the point floating there removed, the function would become continuous at \(x=p\). This is called a removable discontinuity.
Removable Discontinuity Example
Let's take a look at a few functions and determine if they have removable discontinuities.
Removable Discontinuity Graph
Does the function \(f(x)=\dfrac{x^2-9}{x-3}\) have a removable discontinuity at \(x=3\) ?
Answer:
First, notice that the function isn't defined at \(x=3\), so it isn't continuous there. If the function is continuous at \(x=3\), then it certainly doesn't have a removable discontinuity there! So now you need to check the limit:
\[lim_{x \rightarrow 3} f(x)\]
Since the limit of the function does exist, the discontinuity at \(x=3\) is a removable discontinuity. Graphing the function gives:
Fig, 1. This function has a hole at \(x=3\) because the limit exists, however, \(f(3)\) does not exist.
Fig. 2. Example of a function with a removable discontinuity at \(x = 3\).
So you can see there is a hole in the graph.
Non-removable Discontinuities
If some discontinuities can be removed, what does it mean to be non-removable? Looking at the definition of a removable discontinuity, the part that can go wrong is the limit not existing. Non-removable discontinuities refer to two other main types of discontinues; jump discontinuities and infinite/asymptotic discontinuities. You can learn more about them in Jump Discontinuity and Continuity Over an Interval.
Non-removable Discontinuity Graph
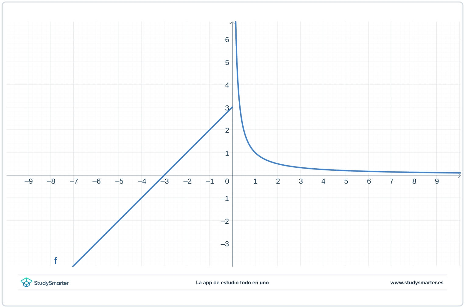
Looking at the graph of the piecewise-defined function below, does it have a removable or non-removable point of discontinuity at \(x=0\)? If it is non-removable, is it an infinite discontinuity?

Fig. 3. Function with a non-removable discontinuity.
Answer:
From looking at the graph you can see that
\[lim_{x \rightarrow 0^-}f(x)=3\]
and that
\[lim_{x \rightarrow 0^+}f(x)=\infty\]
which means the function is not continuous at \(x=0\). In fact, it has a vertical asymptote at \(x=0\). Since those two limits aren't the same number, the function has a non-removable discontinuity at \(x=0\). Since one of those limits is infinite, you know it has an infinite discontinuity at \(x=0\).
Removable Discontinuity Limit
How can you tell if the discontinuity of a function is removable or non-removable? Just look at the limit!
If the limit from the left at \(p\) and the right at \(p\) are the same number, but that isn't the value of the function at \(p\) or the function doesn't have a value at \(p\), then there is a removable discontinuity.
If the limit from the left at \(p\), or the limit from the right at \(p\), is infinite, then there is a non-removable point of discontinuity, and it is called an infinite discontinuity.
What kind of discontinuity, if any, does the function in the graph have at \(p\)?

Fig. 4. This function has a removable discontinuity at \(x=p\) because the limit is defined, however,\( f(p)\) does not exist.
Answer:
You can see looking at the graph that the function isn't even defined at \(p\). However the limit from the left at \(p\) and the limit from the right at \(p\) are the same, so the function has a removable point of discontinuity at \(p\). Intuitively, it has a removable discontinuity because if you just filled in the hole in the graph, the function would be continuous at \(p\). In other words, removing the discontinuity means changing just one point on the graph.
What kind of discontinuity, if any, does the function in the graph have at \(p\)?

Fig. 5. This function is defined everywhere.
Unlike in the previous example, you can see looking at the graph that the function is defined at \(p\). However the limit from the left at \(p\) and the limit from the right at \(p\) are the same, so the function has a removable point of discontinuity at \(p\). Intuitively, it has a removable discontinuity because if you just changed the function so that rather than having it filled in the hole, the function would be continuous at \(p\).
Looking at the graph of the piecewise-defined function below, does it have a removable, non-removable discontinuity, or neither of the two?

Fig. 6. Graph of a function with a discontinuity at \(x=2\), ÷ÈÓ°Ö±²¥ Original.
Answer:
This function is clearly not continuous at \(2\) because the limit from the left at \(2\) is not the same as the limit from the right at \(2\). In fact
\[lim_{x \rightarrow 2^-}f(x)=4\]
and
\[lim_{x \rightarrow 2^+}f(x)=1\] .
So we know that
- the limit from the left at \(2\) and the limit from the right of \(2\) don't have the same value
- the limit from the left isn't infinite, and the limit from the right isn't infinite at \(2\) either,
Therefore, this function has a non-removable discontinuity at \(2\), however, it is not an infinite discontinuity.
In the example above, the function has a jump discontinuity at \(x=2\). For more information on when this happens, see Jump Discontinuity
Looking at the graph below, does the function have a removable or non-removable point of discontinuity at \(x=2\)?

Fig. 7. Graph of a function with a discontinuity at \(x = 2\).
Answer:
This function has a vertical asymptote at \(x=2\). In fact
\[lim_{x \rightarrow 2^-}f(x)= -\infty\]
and
\[lim_{x \rightarrow 2^+}f(x)= \infty\]
So this function has a non-removable point of discontinuity. It is called an infinite discontinuity because one of the limits is infinite.
Removable Discontinuity - Key takeaways
- If a function is not continuous at a point, we say "it has a point of discontinuity at this point".
- If a function is not continuous at a point, then we say the function has a removable discontinuity at this point if the limit at this point exists.
- If the function has a removable discontinuity at a point, then is called a removable point of discontinuity (or a hole).