Evaluating Limits at Infinity
Did you know there is more than one way to think about infinite limits and evaluate them? One way is what happens when you get a vertical asymptote. For more information on that kind of infinite limit, see One-Sided Limits and Infinite Limits.
Another kind of infinite limit is thinking about what happens to function values of \(f(x)\) when \(x\) gets very large, and that is what is explored here using the definition, helpful rules, and graphs. So read on to find out how to evaluate limits at infinity!
Definition of Limit at Infinity
Remember that the symbol \(\infty\) doesn't represent a real number. Instead, it describes the behavior of function values becoming larger and larger, just like \(-\infty\) describes the behavior of a function that becomes more and more negative. So if you see
\[\lim_{x\to\infty}f(x)=L,\]
don't take it to mean that you can plug in \(\infty\) as a function value! Writing the limit this way is just a shorthand to give you a better idea of what the function is doing. So first let's look at the definition, and then an example.
We say a function \(f(x)\) has a limit at infinity if there exists a real number \(L\) such that for all \(\epsilon > 0\) , there exists \(N>0\) such that
\[|f(x)-L|<\epsilon\]
for all \(x>N\), and we write
\[\lim_{x\to\infty} f(x)=L.\]
Let's look at an example.
Consider the function \(f(x)=e^{-x}+1,\) and decide if
\[\lim_{x\to\infty}f(x)=L \]
exists.
Solution
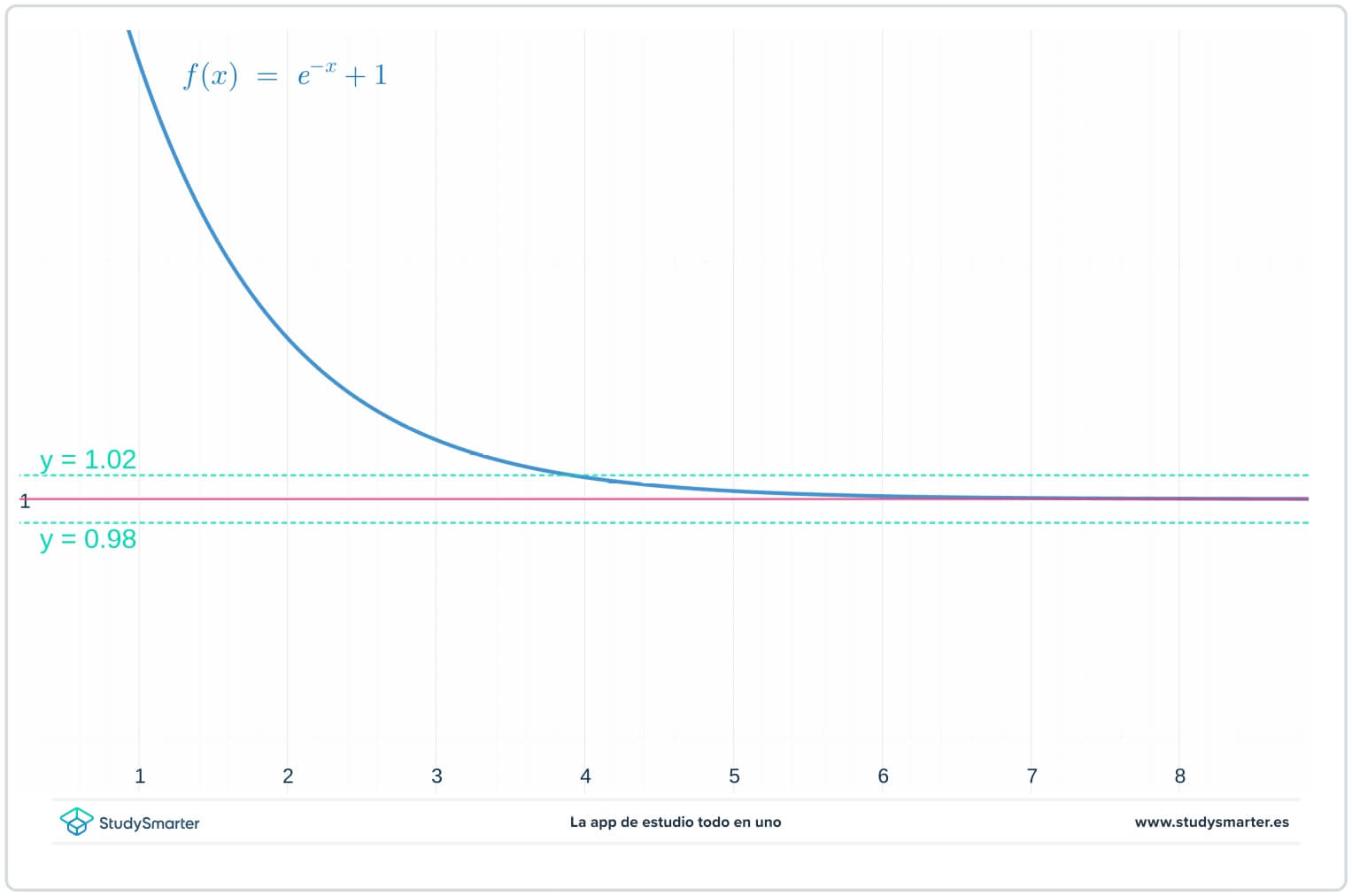
First, let's look at a graph of the function. From what you know about exponential functions (see Exponential Functions), a good candidate for the limit is \(L=1\). So on the same graph as the function, graph the lines \(y=1\), \(y=1-\epsilon=0.98\), and \(y=1+\epsilon=1.02\). While you don't know exactly what value \(\epsilon\) has, you do know it is a small positive number.

Fig. 1. Graphing a function to find the limit at infinity
So you can see that for the graph above, as long as \(x>4\) the graph of \(f(x)\)is trapped between the lines \(y=1-\epsilon\) and \(y=1+\epsilon\). But what happens if you have an even smaller value of \(\epsilon\)?
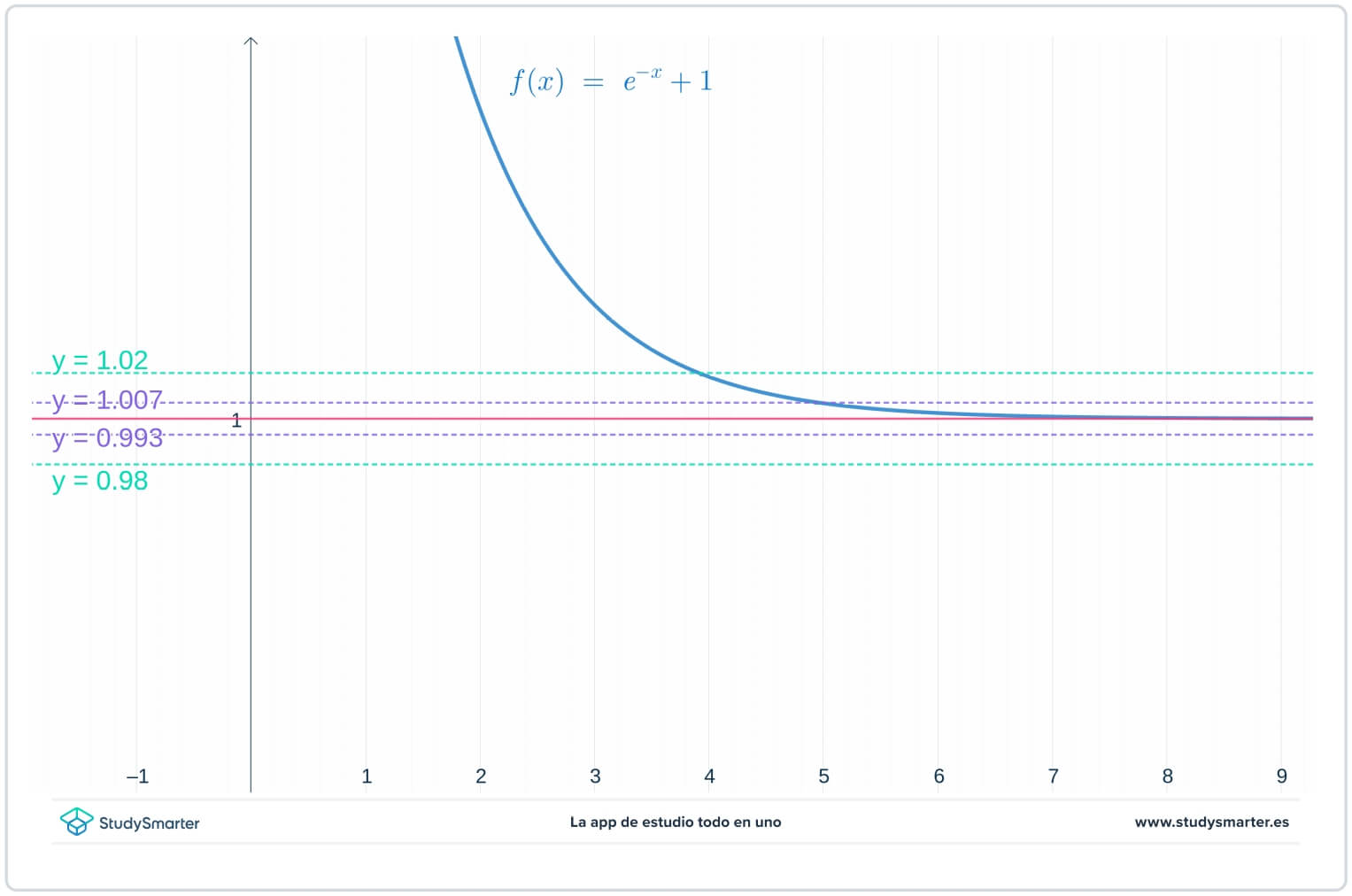
In the graph below, the original lines are there, but now there are two additional lines, \(y=1-\epsilon_{1}=0.0993\) and \(y=1+\epsilon_{1}=1.007\), where \(\epsilon_{1}\) is some number smaller than \(\epsilon\).

Fig. 2. Graphing with a smaller epsilon value to find the limit at infinity
As you can see from the graph above, with this smaller value of \(\epsilon_{1}\), you need to take \(x>7\) to make sure the function is trapped between \(y=1-\epsilon_{1}\) and \(y=1+\epsilon_{1}.\)
Usually, the value of \(N\) you find will depend both on the function and the value of \(\epsilon\), and as you take smaller \(\epsilon\) values, you will need a larger value for \(N\).
So, the limit as \(x\) approaches infinity in this function does exist,
\[\lim_{x\to\infty}e^{-x}+1=1.\]
Now it may be the case that the limit as \(x\to\infty\) doesn't exist.
Consider the function \(f(x)=\sin x\) . Does
\[\lim_{x\to\infty}f(x)\]
exist?
Solution
The first thing you would need to do if you were to find the limit is to choose a candidate for the value of the limit \(L\). But if you try and pick one value for \(L\), say \(L=1\), you will always find function values for \(f(x)=\sin (x)\) that are more than \(\dfrac{1}{2}\) away from \(L\) because the sine function oscillates between \(-1\) and \(1\). In fact for any \(L\), you try and choose, the oscillation of the sine function will always be a problem. So
\[\lim_{x\to\infty} \sin x\]
does not exist.
Sometimes as \(x\to \infty\), the function values just keep getting bigger, as with the function \(f(x)=x\). Since this happens with quite a few functions there is a special definition for this behavior.
We say a function \(f(x)\) has an infinite limit at infinity, and write
\[\lim_{x\to\infty}f(x)=\infty,\]
if for all \(M>0\) there exists an \(N>0\) such that \(f(x)>M\) for all \(x>N.\)
This is not the same as saying that the limit exists, or that the function actually "hits" infinity. Writing
\[\lim_{x\to\infty}f(x)=\infty\]
is just a shorthand for saying that the function gets larger and larger when you take \(x\) to get bigger and bigger.
Take the function \(f(x)=\sqrt{x}\) and show that
\[\lim_{x\to\infty}f(x)=\infty.\]
Solution
To show that the limit is infinity, take a fixed \(M>0\). You want that \(x>N\) implies that \(f(x)>M\), or in other words that \(\sqrt{x}>M\).
In this case, it is relatively easy to solve for \(x\) and find that \(x>M^2\). Working backward from this, if you take \(N>M^2\), you know that \(x>N>M^2\) will imply that
\[\sqrt{x}>\sqrt{N}>\sqrt{M^2}=M,\]
and this all holds together because you know that \(N\) and \(M\) are positive. Therefore you have shown that
\[\lim_{x\to\infty}f(x)=\infty.\]
Limits at Negative Infinity
Similar to the limit at infinity, you can define the limit at negative infinity.
We say a function \(f(x)\) has a limit at negative infinity if there exists a real number \(L\) such that for all \(\epsilon>0\), there exists \(N>0\) such that
\[|f(x)-L|<\epsilon\]
for all \(x<-N\), and we write
\[\lim_{x\to -\infty}=L.\]
You can also define a function having a limit at infinity being negative infinity. Notice it is quite similar to the definition above.
We say a function \(f(x)\) has a negative infinite limit at infinity, and write
\[\lim_{x\to\infty}f(x)=-\infty,\]
if for all \(M>0\) there exists an \(N>0\) such that \(f(x)<-M\) for all \(x>N.\)
Of course, what you can do for the positive direction you can do in the negative direction.
We say a function \(f(x)\) has an infinite limit at negative infinity, and write
\[\lim_{x\to-\infty}f(x)=\infty,\]
if for all \(M>0\) there exists an \(N>0\) such that \(f(x)>M\) for all \(x<-N.\)
And lastly, a negative infinite limit at negative infinity.
We say a function \(f(x)\) has a negative infinite limit at negative infinity, and write
\[\lim_{x\to -\infty} f(x)=-\infty,\]
if for all \(M>0\) there exists an \(N>0\) such that \(f(x)<-M\) for all \(x<-N.\)
Finding an Infinite Limit from a Graph
Sometimes it can be very helpful to graph the function and look at a table of values when trying to find an infinite limit. This is especially true when you might not have a very good intuition of what the function looks like.
Using the function
\[f(x)=\frac{1}{x}\sin x,\]
find
\[\lim_{x\to\infty} f(x).\]
Solution
First make a graph of the function and a table of values on the function. In the graph below you can see the points in the table plotted on the function.
Fig. 3. Using a graph to find the limit of a function.
| \(x\) | \(f(x)\) |
| \(10\) | \(-0.0544\) |
| \(20\) | \(0.0456\) |
| \(30\) | \(-0.0329\) |
| \(40\) | \(0.0186\) |
| \(50\) | \(-0.0052\) |
| \(60\) | \(-0.0050\) |
| \(70\) | \(0.0110\) |
| \(80\) | \(-0.0124\) |
| \(90\) | \(0.0099\) |
| \(100\) | \(-0.0050\) |
| \(200\) | \(-0.0043\) |
| \(300\) | \(-0.0033\) |
| \(400\) | \(-0.0021\) |
| \(500\) | \(-0.0009\) |
Table 1.- Points of the graph.
It looks like from the table and graph that the function values get closer to zero as \(x\to \infty\), but you might not be sure. Since this is looking for a limit at infinity, rather than graphing from \(x=0\) to the right, instead start with a larger value of \(x\) for a better view.
Fig. 4. Larger view of the plot.
| \(x\) | \(f(x)\) |
| \(10\) | \(-0.0544\) |
| \(20\) | \(0.0456\) |
| \(30\) | \(-0.0329\) |
| \(40\) | \(0.0186\) |
| \(50\) | \(-0.0052\) |
| \(60\) | \(0.0050\) |
| (\70\) | \(0.0110\) |
| \(80\) | \(-0.0124\) |
| \(90\) | \(0.0099\) |
| \(100\) | \(0.0050\) |
Table 2.- Points of the graph.
By shifting the graphing window it is much easier to see that the function values do get closer to zero as \(x\to\infty\). Now you can say that
\[\lim_{x\to\infty}f(x)=0.\]
Let's look at another example.
It is important to combine graphs and tables when trying to find the limit at infinity. For example if you take the function \(f(x)=\sin x,\) you can make the following table of values:
| \(x\) | \(\sin(x)\) |
| \(0\) | \(0\) |
| \(10\pi\) | \(0\) |
| \(100\pi\) | \(0\) |
| \(1000 \pi\) | \(0\) |
Table 3.- Table of values for the function. might lead you to believe that the limit at infinity is zero. However if you graph the function, you can see that \(f(x)=\sin x\) keeps oscillating no matter how large you take the \(x\) values. So just looking at a table can be misleading if you aren't careful about how you choose the \(x\) values you put in it. Knowing what you do about the sine function, you can safely say that\[\lim_{x\to\infty}\sin x\]does not exist.
For a review on the behavior of the sine function, see Trigonometric Functions.
Infinite Limits Examples
There is a special name for when the limit at infinity or the limit at negative infinity of a function exists.
If
\[\lim_{x\to\pm\infty}f(x)=L,\]
where \(L\) is a real number, then we say the line \(y=L\) is a horizontal asymptote for \(f(x)\).
You have already seen examples in Calculus of functions with horizontal asymptotes, this is just giving you a precise mathematical definition. Let's look at an example.
Does the function
\[f(x)=\left(\frac{2}{x}+1\right)\left(\frac{5x^2-1}{x^2}\right)\]
have a horizontal asymptote? If so, find the equation for it.
Solution
This function doesn't look like much fun in its current form, so let's give it a common denominator and make it one fraction first,
\[\begin{align}f(x)&=\left(\frac{2}{x}+1\right) \left(\frac{5x^2-1}{x^2}\right)\\&=\left(\frac{2+x}{x}\right)\left(\frac{5x^2-1}{x^2}\right)\\&=\frac{(2+x)(5x^2-1)}{x^3} .\end{align}\]
Looking at it, you can see that the highest power in the numerator is equal to the highest power in the denominator. Multiplying out the numerator and dividing through by the denominator gives,
\[\begin{align} f(x)&=\frac{(2+x)(5x^2-1)}{x^3}\\&=\frac{10x^2-2+5x^3-x}{x^3}\\&=\frac{5x^3+10x^2-x-2}{x^3}\\&=5+\frac{10}{x}-\frac{1}{x^2}-\frac{2}{x^3}.\end{align}\]
Using what you know about polynomials, you can see that in fact this function has the property that
\[\lim_{x\to\infty}f(x)=5,\]
and that
\[\lim_{x\to-\infty}f(x)=5,\]
so this function has \(y=5\) as its horizontal asymptote.
For a review on the behavior of polynomial functions see Polynomial Functions.
Rational functions have helpful properties,
If \(r>0\) is a rational number such that \(x^r\) is defined for all \(x>0\), then
\[\lim_{x\to\infty}\frac{1}{x^r}=0.\]
For the function
\[f(x)=\frac{1}{\sqrt[3]{x^2}}\]
find
\[\lim_{x\to\infty}f(x).\]
Solution
Using the previous Deep Dive, with \(r=\frac{2}{3}\), since \(x^r\) is defined for all \(x>0\) you know that
\[\begin{align} \lim_{x\to\infty}f(x) &=\lim_{x\to\infty}\frac{1}{\sqrt[3]{x^2}} \\ &=\lim_{x\to\infty}\frac{1}{x^r}\\ &=0. \end{align}\]
Rules of Limits at Infinity
Similar to the Limit Laws, there are properties of limits that are helpful to know as you look at \(x\to\infty\).
Suppose that \(L\), \(M\), and \(k\) are real numbers, with \(f\) and \(g\) being functions such that
\[\lim_{x\to\pm\infty}f(x)=L\quad \text{and}\quad \lim_{x\to\pm\infty}g(x)=M.\]
Then the following hold,
Sum Rule. \[\lim_{x\to\pm\infty}(f(x)+g(x))=L+M.\]
Difference Rule. \[\lim_{x\to\pm\infty} (f(x)-g(x))=L-M.\]
Product Rule. \[\lim_{x\to\pm\infty}(f(x)\cdot g(x))=L\cdot M.\]
Constant Multiple Rule. \[\lim_{x\to\pm \infty}k\cdot f(x)=k\cdot L.\]
Quotient Rule. If \(M\neq 0\), then
\[\lim_{x\to\pm\infty}\frac{f(x)}{g(x)}=\frac{L}{M}.\]
Power Rule. If \(r,s\in\mathbb{Z}\), with \(s\neq 0\), then
\[\lim_{x\to\pm\infty}(f(x))^{\frac{r}{s}}=L^{\frac{r}{s}},\]
provided that \(L^{\frac{r}{s}}\) is a real number and \(L>0\) when \(s\) is even.
Can you apply the Quotient Rule above to find
\[\lim_{x\to\infty}\dfrac{5x+\sin x}{x}? \]
Solution
If you try and take \(f(x)=5x+\sin x\) and \(g(x)=x\), then both of those functions have an infinite limit at infinity, so you can't apply the Quotient Rule. Instead, you can do a little algebra first,
\[\begin{align} \frac{5x+\sin x}{x} &=\frac{5x}{x}+\frac{1}{x}\sin x\\ &=5+\frac{1}{x}\sin x. \end{align}\]
If you take \(f(x)=5\) and \(g(x)=\frac{1}{x}\sin x\) you know from the work above that
\[\lim_{x\to\infty}f(x)=\lim_{x\to\infty}5=5,\]
and
\[\lim_{x\to\infty}\frac{1}{x}\sin(x)=0,\]
so you can use the Sum Rule to get that,
\[\begin{align} \lim_{x\to\infty}\frac{5x+\sin x}{x} &=\lim_{x\to\infty}5+\lim_{x\to\infty}\frac{1}{x}\sin x \\ &=5+0\\ &=5. \end{align}\]
So no, you can't use the Quotient Rule, but you can use a little algebra and then the Sum Rule to find the limit.
One of the more important results about limits, The Squeeze Theorem, also holds for limits at infinity.
Squeeze Theorem for Limits at Infinity. Assume both that
\[g(x)\le f(x)\le h(x),\]
and
\[\lim_{x\to\pm\infty}g(x)=\lim_{x\to\pm\infty}h(x)=L,\]
then
\[\lim_{x\to\pm\infty}f(x)=L.\]
Note that it is really only important that \(g(x)\le f(x) \le h(x)\) is true for very large \(x\) values if you are trying to find the limit as \(x\to\infty\), or that it is true for very negative values if you are trying to find the limit as \(x\to -\infty.\)
Going back to \[f(x)=\frac{1}{x}\sin x,\]
you know that for large values of \(x\),
\[-\frac{1}{x}<\frac{1}{x}\sin x<\frac{1}{x}.\]
In addition,
\[\lim_{x\to\infty}\frac{1}{x}=0.\]
Therefore by the Squeeze Theorem you know that,
\[\lim_{x\to\infty}\frac{1}{x}\sin x=0.\]
Let's look at another example.Find
\[\lim_{x\to\infty}\frac{\cos(2x)\sin(x^2)+3\sin x-\cos x}{x}\]
if it exists.
Solution
At first glance, this problem might look challenging, but remember that the sine and cosine functions are always bounded between \(-1\) and \(1\), which means their product is also bounded between \(-1\) and \(1\). That means
\[-5<\cos(2x)\sin(x^2)+3\sin x-\cos x<5.\]
This is because
\[\begin{align} -1<\cos(2x)\sin(x^2)<1, \\ -3<3\sin x<3,\end{align} \]
and
\[ -1<\cos x<1,\]
and you can take their most positive values and most negative values to get an upper and lower bound. So now you know,
\[\frac{-5}{x}<\frac{\cos(2x)\sin(x^2)+3\sin x-\cos x}{x}<\frac{5}{x}\]
for large values of \(x\), and you can apply the Squeeze Theorem to get that
\[\lim_{x\to\infty}\frac{\cos(2x)\sin(x^2)+3\sin x-\cos x}{x}=0.\]
Limits of Trig Functions at Infinity
You may wonder about the limits of trigonometric functions. There are examples involving the sine and cosine functions in the sections above. The same concepts can be applied to any trig function, inverse trig function, or hyperbolic trig function. See the articles Trigonometric Functions, Hyperbolic Functions, Inverse Functions, and Inverse Trigonometric Functions for more details and examples.
Infinite Limits - Key takeaways
We say a function \(f(x)\) has a limit at infinity if there exists a real number \(L\) such that for all \(\epsilon >0\), there exists \(N>0\) such that
\[|f(x)-L|<\epsilon\]for all \(x>N\), and we write \[\lim_{x\to\infty}=L.\]
We say a function \(f(x)\) has an infinite limit at infinity, and write \[\lim_{x\to\infty}f(x)=\infty,\]
if for all \(M>0\) there exists an \(N>0\) such that \(f(x)>M\) for all \(x>N.\)
If \[\lim_{x\to\pm\infty}f(x)=L\]
where \(L\) is a real number, then we say the line \(y=L\) is a horizontal asymptote for \(f(x).\)
Similar to Limits of Functions, the Sum, Product, Difference, Constant, and Quotient Rules all hold for limits at infinity.
Squeeze Theorem for Limits at Infinity. Assume both that \[g(x)\le f(x)\le h(x),\] and \[\lim_{x\to\pm\infty}g(x)=\lim_{x\to\pm\infty}h(x)=L,\]
then \[\lim_{x\to\pm \infty}f(x)=L.\]