Chapter 24: Gas Chromatography
Q27P
(a) When a solution containing of pentanol (FM 88.15) and of 2,3 -dimethyl-2-butanol (FM 102.17) in was separated, relative peak areas were pentanol: 2,3 -dimethyl-2-butanol = 0.913 : 1.00. Considering pentanol to be the internal standard, find the response factor for 2,3 -dimethyl-2-butanol.
(b) Use Equation 24-8 to find the areas for pentanol and 2,3 -dimethyl-2-butanol in Figure 24-8.
(c) The concentration of pentanol internal standard in the unknown solution was . What was the concentration of 2,3 -dimethyl2-butanol?
Q28P
Astandard solution containing iodoacetone and -dichlorobenzene (an internal standard) gave peak areas of 395 and 787, respectively, in a gas chromatogram. A unknown solution of iodoacetone was treated with of -dichlorobenzene and the mixture was diluted to. Gas chromatography gave peak areas of 633 and 520 for iodoacetone and p-dichlorobenzene, respectively. Find the concentration of iodoacetone in the of original unknown.
Q29P
Heptane, decane, and an unknown had adjusted retention times of (heptane),(decane), and(unknown). The retention indexes for heptane and decane are 700 and 1000 , respectively. Find the retention index for the unknown.
Q30P
In the analysis of odorants in tequila in Figure 24-21, tequila was diluted with water and extracted four times with dichloromethane , b.p. Theofwas evaporated down toandof the extract was injected on-column onto a poly(ethylene glycol) open tubular column , film thickness ) initially at and then ramped to
(a) Why was the diluted tequila extracted four times with dichloromethane instead of once with a larger volume?
(b) Why was on-column injection used?
(c) Why was a poly(ethylene glycol) column chosen for this application?
(d) What was the phase ratio of the column?
(e) Why was a wide-bore 0.53-mm-diameter column chosen for this application?

Q31P
The gasoline additive methyl t-butyl ether (MTBE) has been leaking into groundwater ever since its introduction in the. MTBE can be measured at parts per billion levels by solid-phase microextraction from groundwater to which 25 % (wt/vol) NaCl has been added (salting out, Problem 8-9). After microextraction, analytes are thermally desorbed from the fiber in the port of a gas chromatograph. The figure on the next page shows a reconstructed total ion chromatogram and selected ion monitoring of substances desorbed from the extraction fiber.

(a) What is the purpose of adding NaCl prior to extraction?
(b) What nominal mass is being observed in selected ion monitoring? Why are only three peaks observed?
(c) Here is a list of major ions above m/z50 in the mass spectra. The base (tallest) peak is marked by an asterisk. Given that MTBE and TAME have an intense peak at m/z,73 and there is no significant peak at m/z,73 for ETBE, suggest a structure for m/z,73. Suggest structures for all ions listed in the table.

Q32P
Here is a student procedure to measure nicotine in urine. A 1.00-mL sample of biological fluid was placed in a 12-mL vial containing powder. After of the internal standard 5 -aminoquinoline were injected, the vial was capped with a Teflon coated silicone rubber septum. The vial was heated to for 20 min and then a solid-phase microextraction needle was passed through the septum and left in the headspace for 5.00min. The fiber was retracted and inserted into a gas chromatograph. Volatile substances were desorbed from the fiber at for 9.5min in the injection port while the column was at . The column temperature was then raised to at and eluate was monitored by electron ionization mass spectrometry with selected ion monitoring at m/z 84 for nicotine and m / z 144 for internal standard. Calibration data from replicate standard mixtures taken through the same procedure are given in the table.

(a) Why was the vial heated to before and during extraction?
(b) Why was the chromatography column kept at during thermal desorption of the extraction fiber?
(c) Suggest a structure for m / z 84 from nicotine. What is the m / z, 144 ion from the internal standard, 5 -aminoquinoline?

(d) Urine from an adult female nonsmoker had an area ratio m / z .84 / 144=0.51 and 0.53 in replicate determinations. Urine from a nonsmoking girl whose parents are heavy smokers had an area ratio 1.18 and 1.32.
Find the nicotine concentration and its standard uncertainty in the urine of each person.
Q33P
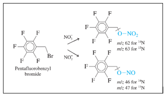
Nitric oxide (NO) is a cell-signaling agent in physiologic processes including vasodilation, inhibition of clotting, and inflammation. A sensitive chromatography-mass spectrometry method was developed to measure two of its metabolites, nitriteand nitrat,in biological fluids. Internal standards,and, were added to the fluid at concentrations of 80.0 and, respectively.Naturalandplus the internal standards were then converted to volatile derivatives:

Because biological fluids are so complex, the derivatives were first isolated by high-performance liquid chromatography. For quantitative analysis, liquid chromatography peaks corresponding to the two products were injected into a gas chromatograph, ionized by negative ion chemical ionization (giving major peaks forandand the products measured by selected ion monitoring. Results are shown in the figure on the next page. If the internal standards undergo the same reactions and same separations at the same rate as theanalytes, then the concentrations of analytes are simply
where R is the measured peak area ratiofor nitrite andfor nitrate) andis the measured ratio of peak areas in a blank prepared from the same buffers and reagents with no added nitrite or nitrate. The ratios of peak areas areand. The ratios for the blank wereand. Find the concentrations of nitrite and nitrate in the urine.

Q34P
(a) The term that is 0 for an open tubular column has to be explained with the reason.(b) The value of B must be stated in terms of a physical property that can be measured. (c) The value ofCmust be represented in terms of a physical attribute that can be measured. (d)The minimum plate height must be expressed in terms of quantifiable physical amounts of B and C.
Q35P
(a) Find the limit of the square-root term as
(unretained solute) and as (infinitely retained solute).
(b) If the column radius is 0.10mmfindfor the two cases in (a).
(c) What is the maximum number of theoretical plates in a 50 -m-long column with a 0.10-mm radius if k=5.0 ?
(d) The phase ratio is defined as the volume of the mobile phase divided by the volume of the stationary phase Derive the relationship between and the thickness of the stationary phase in a wall-coated column and the inside radius of the column
(e) Find kif K=1000,, and r=0.10 mm.
Q36P
Consider the chromatography of on a 25 m × 0.53 mm open tubular column of 5% phenyl–95% methyl polysiloxane with a stationary phase thickness of 3.0 and He carrier gas at 125ºC. The observed retention factor for is 8.0. Measurements were made of plate height, H, at various values of linear velocity,. A least-squares curve through the data points is given by
localid="1654864230381"