Chapter 6: Chemical Equilibrium
Q5TY
for chloroacetic acid is Find for chloroacetate ion.
Q6P
From the equations
find the value of K for the reaction.
Q6TY
for dimethylamine is . Find for dimethyl ammonium ion.
Q7P
(a) A favorable entropy change occurs when is positive. Does the order of the system increase or decrease when is positive?
(b) A favorable enthalpy change occurs when is negative. Does the system absorb heat or give off heat when is negative?
(c) Write the relation between ,and . Use the results of parts (a) and (b) to state whether must be positive or negative for a spontaneous change.
Q8P
For the reaction, at . Find the value of Kfor the reaction.
Q9P
The formation of tetrafluoroethylene from its elements is highly exothermic:
(a)If a mixture ofgraphite, andis at equilibrium in a closed container, will the reaction go to the right or to the left ifis added?
(b) Rare bacteria from the planet Teflon eatand make Teflon for their cell walls. Will the reaction go to the right or to the left if these bacteria are added?

(c) Will the reaction go right or left if solid graphite is added? (Neglect any effect of increased pressure due to the decreased volume in the vessel when solid is added.)
(d) Will the reaction go right or left if the container is crushed to one-eighth of its original volume?
(e) Does the equilibrium constant become larger or smaller if the container is heated?
QBE
Reaction 6-8 is allowed to come to equilibrium in a solution initially containing, and 1.00MH+. To find the concentrations at equilibrium, we construct the table at the bottom of the page showing initial and final concentrations. We use the stoichiometry coefficients of the reaction to say that if of are created, then we must also make x mol of and 8x mol of H+. To produce x mol of , we must have consumed x mol of and 2x mol of Cr3+.
(a) Write the equilibrium constant expression that you would use to solve for x to find the concentrations at equilibrium. Do not try to solve the equation.
(b) Because , we suppose that the reaction will go nearly "to completion." That is, we expect both the concentration of and to be close to 0.00500M an equilibrium. (Why?) That is, . With this value of and . However, we cannot say , because there must be some small concentration of at equilibrium. Write for the concentration of and solve for . The limiting reagent in this example is . The reaction uses up before consuming .
Q CE
Find in the solution when excess solid lanthanum iodate, , is stirred with until the system reaches equilibrium. Assume that from is negligible compared with from .
QJ-E
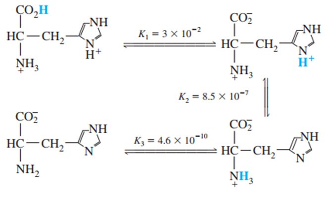
Question: Histidine is a triprotic amino acid:

Find the value of the equilibrium constant for the reaction

QK-E
Question: (a) From Kw in Table 6-1, calculate the pH of pure water at 00,200, and 400C.
(b) For the reaction , at 250C. In this equation, D stands for deuterium, which is the isotope 2H. What is the pD (=-log[D+]) for neutral D2O?